
Guide for Conversion of Foreigen Pilot license to Indian Pilot License
Guidline for Conversion of professional Pilot's License issued in ICAO Contracting States into indian Professional Pilot License

Demonstration of competency for conversion of foreign Commercial Pilot Licence (Aeroplanes) to Indian Commercial Pilot Licence (Aeroplanes).
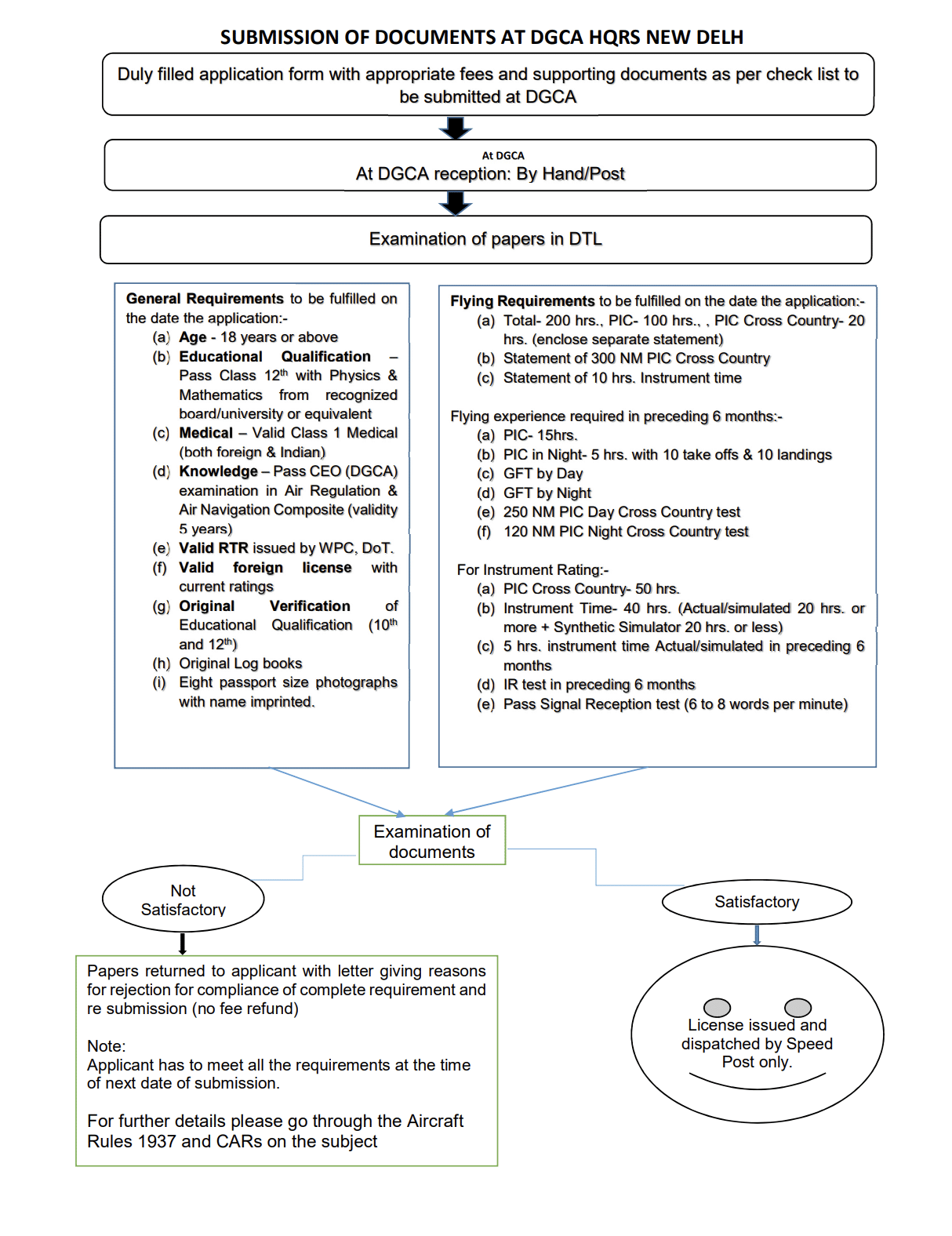
- CAR Section - 7 Series ‘G’ Part- I lays down the requirements for obtaining Indian Pilot’s Licence or Rating on the basis of such Licence or Rating issued by a Contracting State which require the applicant to meet requirements relating to (i) age; (ii) educational qualifications; (iii) medical fitness; and (iv) flying experience and competency as laid down in respective Sections of Schedule II of the Aircraft Rules, 1937.
- 2. All applicants for conversion of foreign CPL to Indian CPL are required to undergo skill tests in India, on at least one aircraft type required to be endorsed on the Indian Licence.
- 3. Further, in case IR is not issued by the Contracting State, the skill test carried out in the Contracting State shall not be recognized. For the issue of IR, the applicant shall be required to undergo IR skill test in India.
- 4. Only Authenticated Original Log book/s utilized and maintained for issue of contracting state license will be accepted. It must include at least information regarding dates, aircraft type(single/Multi) and registration, crew status (PIC, dual etc.), flight time, total time, Sectors, day & Nights, X-country flights, instrument time(actual, simulated in aircraft), simulator flying (separately logged). All the entries must be verified by the appropriate authority in the State of Issue of foreign license and should contain endorsements of respective stages of flying training. (Example: Check rides with DPE signatures where applicable, Solo release, Cross country, knowledge etc). Flying undertaken in the capacity of safety pilot/observer will not be considered as PIC hours for conversion of license.
- 5. An aircraft type to be included in the Aircraft Rating of a Pilot’s licence shall be the aircraft type on the Indian Register of Civil Aircraft and in respect of which a valid Certificate of Airworthiness is in force.
- 6. The experience gained for obtaining foreign license in contracting state is considered towards the conversion of license, irrespective of the type registration and acceptance in India. However, the aircraft type should fall within the definition of Aeroplanes as laid down in Aircraft Rules 1937. Additionally, in case the aircraft type is not registered in India, or not endorsed on the foreign license, the applicant will have to pass the DGCA examination, undergo required training and skill tests on the aircraft registered and accepted in India with a valid C of A, and that which is required to be endorsed on his Indian CPL.
- 7. The revised Guidelines for Conversion of Professional Pilot’s Licenses issued in ICAO Contracting States into Indian Professional Pilot’s License (Commercial Pilot’s License) introducing the above are attached at Appendix I.
Guidelines for Conversion of Professional Pilot’s Licenses issued in ICAO contracting States into Indian Professional Pilot’s License (Commercial Pilot’s License)
- (A) Applicants must obtain from foreign for submission along with application:-
- 1. Valid foreign Professional Pilot’s License.
- 2. Valid foreign Class-I Medical Assessment from State of issue.
- 3. Statement of 20Hrs of PIC Cross-country flights / 50 Hrs PIC cross-country flights if IR is also requested.(Clearly indicating a flight to a point beyond a radius of one hundred nautical miles from the aerodrome of departure).
- 4. Certificate of PIC cross-country flight of not less than three hundred nautical miles in the course of which full stop landings at two different aerodromes shall be made.(First leg of cross country shall be a flight to a point beyond a radius of one hundred nautical miles from the aerodrome of departure).
- 5. Statement of 5 hrs.Night Flying as PIC with at least 10 take offs and 10 landings, carried out within six months immediately preceding the date of application for conversion of Licence.
- 6. For IR issue: Statement of Instrument time total =40 hrs.(actual/simulated on aircraft - 20 or more; and on simulator 20 or less) and at least 5 hrs.Instrument time on actual/simulated on aircraft in preceding six months (for IR issue).
- 8. For endorsement of additional aircraft (Single/Multi) on CPL at the time of issue : The applicant has to ensure that he possess same current multi-engine type rating/ class rating on foreign license and is required to submit reports of Skill Tests undertaken in preceding six months from the date of application.
- 9. The flying carried out on single crew certified aircraft will be considered as PIC only when the flying is undertaken as the sole manipulator of controls irrespective of holding of PPL, except the General Flying Tests.
- 10. In case the regulation of Contracting State requires flying experience less than the flying experience specified in Schedule II of the Aircraft Rules 1937 for the issue of the license then the remaining hours (as required in Schedule II) will be completed in the Contracting State where the licence was issued or in India.
- Note: - Language Proficiency in Aviation English is mandatory for utilizing the privileges of license.In case level of proficiency of English is mentioned in the foreign license, the same will be endorsed on the Indian CPL.
- In case of licenses only indicating Proficient in English Language, ELP level 4 will be endorsed on the Indian CPL.
- In case the applicant is not English Proficient or his/her English Language Proficiency is not valid, the same will have to be carried out in India for endorsement on the Indian License.
- (B) Applicants need to do in India before submission of application:-
- 1. Within the preceding six months of the date of application in DGCA.
- (i) General flying test by day,
- (ii) General flying test by night;
- (iii) A cross-country flight test by day consisting of a flight of not less than two hundred fifty nautical miles in the course of which at least one full stop landing at an aerodrome other than the aerodrome of departure shall be made; and
- (iv) A cross-country flying test by night consisting of a flight of not less than one hundred twenty nautical miles returning to the place of departure without landing elsewhere and Instrument Rating test (if IR desired) from an approved Flying training institute in India.
- Note: In case CPL is requested only on Multi engine aircraft then all skill tests as mentioned above on the said type will be carried out in India.
- 2. Signal reception tests report by an approved Flying training institute in India, if not carried out in a flying training institute approved by the regulatory authority of the ICAO Contracting State.
- 3. Pass results of Air Regulation and Composite Papers covering (Met + Navigation) in DGCA within preceding 06 months from the date of application.
- 4. Indian Class-I Medical assessment shall be valid on the date of application.
- 5. Indian RTR(A) (if flight radio telephony operator’s license is not issued earlier)
- 6. Obtains Verification certificates from respective school Boards examination for 10th and 12th with original certificates (candidate must ensure pass in Physics and Maths separately and recognition of his qualification from AIU). In case verification has been provided for issue of Computer Number, the same be mentioned specifically.
- 7. Fees as prescribed in Rule 48 of Aircraft Rules, 1937 paid on Bharat Kosh website.
